LeetCode 筆記 - 199. Binary Tree Right Side View
題目在此 199. Binary Tree Right Side View
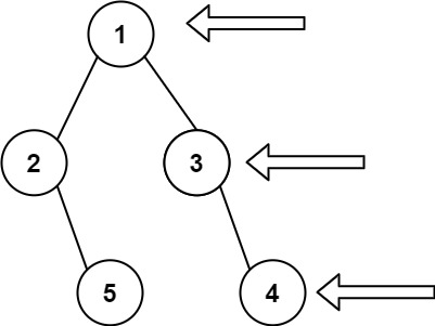
給定一個 Binary Tree,請計算出從右側看到的 node

解題思維
這題就是使用 Breadth-First Search 走訪過一次
紀錄每一層最後一個 node 即可
程式碼
1 | # Definition for a binary tree node. |
題目在此 199. Binary Tree Right Side View
給定一個 Binary Tree,請計算出從右側看到的 node

這題就是使用 Breadth-First Search 走訪過一次
紀錄每一層最後一個 node 即可
1 | # Definition for a binary tree node. |